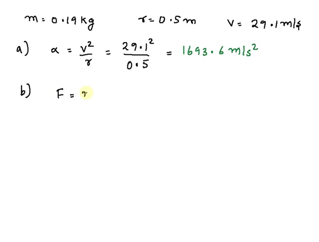
A Fast Pitch Softball Player Does A Windmill Pitch . Learning the mechanics of a fastpitch throw may look incredibly daunting to a youth softball player, but with these coachup tips, you’ll be. a fast pitch softball player does a windmill pitch, illustrated in figure p6.18, moving her hand through a circular arc to pitch a ball at 70 mph. the windmill pitch is, undeniably, one of the most striking aspects of a fastpitch softball game — but it takes focus, skill, and time to master this incredibly effective and most commonly used pitch. the pitcher must not make two revolutions of the arm on the windmill pitch. Windmill pitching is the most common and involves a. However, he may drop his arm to the side and to the rear. a fast pitch softball player does a windmill pitch moving her hand through a vertical circular arc to pitch a ball at 65mph. there are several styles of fastpitch softball pitching, including windmill, slingshot, and crow hop. The 0.19 kg ball is 50.
from www.fastpitchpower.com
a fast pitch softball player does a windmill pitch, illustrated in figure p6.18, moving her hand through a circular arc to pitch a ball at 70 mph. However, he may drop his arm to the side and to the rear. Windmill pitching is the most common and involves a. the pitcher must not make two revolutions of the arm on the windmill pitch. The 0.19 kg ball is 50. a fast pitch softball player does a windmill pitch moving her hand through a vertical circular arc to pitch a ball at 65mph. there are several styles of fastpitch softball pitching, including windmill, slingshot, and crow hop. the windmill pitch is, undeniably, one of the most striking aspects of a fastpitch softball game — but it takes focus, skill, and time to master this incredibly effective and most commonly used pitch. Learning the mechanics of a fastpitch throw may look incredibly daunting to a youth softball player, but with these coachup tips, you’ll be.
Fastpitch Power Softball Drills, Windmill Pitching Instruction
A Fast Pitch Softball Player Does A Windmill Pitch a fast pitch softball player does a windmill pitch, illustrated in figure p6.18, moving her hand through a circular arc to pitch a ball at 70 mph. The 0.19 kg ball is 50. However, he may drop his arm to the side and to the rear. there are several styles of fastpitch softball pitching, including windmill, slingshot, and crow hop. Windmill pitching is the most common and involves a. Learning the mechanics of a fastpitch throw may look incredibly daunting to a youth softball player, but with these coachup tips, you’ll be. a fast pitch softball player does a windmill pitch, illustrated in figure p6.18, moving her hand through a circular arc to pitch a ball at 70 mph. the windmill pitch is, undeniably, one of the most striking aspects of a fastpitch softball game — but it takes focus, skill, and time to master this incredibly effective and most commonly used pitch. the pitcher must not make two revolutions of the arm on the windmill pitch. a fast pitch softball player does a windmill pitch moving her hand through a vertical circular arc to pitch a ball at 65mph.
From www.softball-spot.com
Windmill Pitching The Open Door Position A Fast Pitch Softball Player Does A Windmill Pitch However, he may drop his arm to the side and to the rear. there are several styles of fastpitch softball pitching, including windmill, slingshot, and crow hop. the windmill pitch is, undeniably, one of the most striking aspects of a fastpitch softball game — but it takes focus, skill, and time to master this incredibly effective and most. A Fast Pitch Softball Player Does A Windmill Pitch.
From www.chegg.com
Solved A fast pitch softball player does a "windmill" pitch A Fast Pitch Softball Player Does A Windmill Pitch However, he may drop his arm to the side and to the rear. Windmill pitching is the most common and involves a. Learning the mechanics of a fastpitch throw may look incredibly daunting to a youth softball player, but with these coachup tips, you’ll be. the windmill pitch is, undeniably, one of the most striking aspects of a fastpitch. A Fast Pitch Softball Player Does A Windmill Pitch.
From www.dreamstime.com
Fast Pitch editorial photo. Image of windmill, white 71833691 A Fast Pitch Softball Player Does A Windmill Pitch Windmill pitching is the most common and involves a. a fast pitch softball player does a windmill pitch, illustrated in figure p6.18, moving her hand through a circular arc to pitch a ball at 70 mph. However, he may drop his arm to the side and to the rear. the windmill pitch is, undeniably, one of the most. A Fast Pitch Softball Player Does A Windmill Pitch.
From www.numerade.com
SOLVED Suppose a fastpitch softball player does a windmill pitch A Fast Pitch Softball Player Does A Windmill Pitch Learning the mechanics of a fastpitch throw may look incredibly daunting to a youth softball player, but with these coachup tips, you’ll be. a fast pitch softball player does a windmill pitch moving her hand through a vertical circular arc to pitch a ball at 65mph. the pitcher must not make two revolutions of the arm on the. A Fast Pitch Softball Player Does A Windmill Pitch.
From www.dreamstime.com
Girls Softball Pitcher in the Windmill Editorial Image Image of A Fast Pitch Softball Player Does A Windmill Pitch Windmill pitching is the most common and involves a. Learning the mechanics of a fastpitch throw may look incredibly daunting to a youth softball player, but with these coachup tips, you’ll be. However, he may drop his arm to the side and to the rear. there are several styles of fastpitch softball pitching, including windmill, slingshot, and crow hop.. A Fast Pitch Softball Player Does A Windmill Pitch.
From www.eouaiib.com
Exercises For Fastpitch Softball Pitchers EOUA Blog A Fast Pitch Softball Player Does A Windmill Pitch the windmill pitch is, undeniably, one of the most striking aspects of a fastpitch softball game — but it takes focus, skill, and time to master this incredibly effective and most commonly used pitch. the pitcher must not make two revolutions of the arm on the windmill pitch. a fast pitch softball player does a windmill pitch. A Fast Pitch Softball Player Does A Windmill Pitch.
From softballace.com
Do You Have to Windmill? A Friendly Guide to Pitching Techniques in A Fast Pitch Softball Player Does A Windmill Pitch However, he may drop his arm to the side and to the rear. a fast pitch softball player does a windmill pitch, illustrated in figure p6.18, moving her hand through a circular arc to pitch a ball at 70 mph. there are several styles of fastpitch softball pitching, including windmill, slingshot, and crow hop. the pitcher must. A Fast Pitch Softball Player Does A Windmill Pitch.
From www.chegg.com
Solved Suppose a fastpitch softball player does a windmill A Fast Pitch Softball Player Does A Windmill Pitch a fast pitch softball player does a windmill pitch moving her hand through a vertical circular arc to pitch a ball at 65mph. Learning the mechanics of a fastpitch throw may look incredibly daunting to a youth softball player, but with these coachup tips, you’ll be. However, he may drop his arm to the side and to the rear.. A Fast Pitch Softball Player Does A Windmill Pitch.
From www.chegg.com
Solved a A fast pitch softball player does a "windmill" A Fast Pitch Softball Player Does A Windmill Pitch a fast pitch softball player does a windmill pitch, illustrated in figure p6.18, moving her hand through a circular arc to pitch a ball at 70 mph. Windmill pitching is the most common and involves a. Learning the mechanics of a fastpitch throw may look incredibly daunting to a youth softball player, but with these coachup tips, you’ll be.. A Fast Pitch Softball Player Does A Windmill Pitch.
From www.dreamstime.com
Bringing the Heat stock photo. Image of windmill, fastpitch 54491818 A Fast Pitch Softball Player Does A Windmill Pitch there are several styles of fastpitch softball pitching, including windmill, slingshot, and crow hop. a fast pitch softball player does a windmill pitch moving her hand through a vertical circular arc to pitch a ball at 65mph. Windmill pitching is the most common and involves a. the windmill pitch is, undeniably, one of the most striking aspects. A Fast Pitch Softball Player Does A Windmill Pitch.
From www.numerade.com
SOLVEDA fast pitch softball player does a "windmill" pitch A Fast Pitch Softball Player Does A Windmill Pitch Learning the mechanics of a fastpitch throw may look incredibly daunting to a youth softball player, but with these coachup tips, you’ll be. a fast pitch softball player does a windmill pitch moving her hand through a vertical circular arc to pitch a ball at 65mph. the pitcher must not make two revolutions of the arm on the. A Fast Pitch Softball Player Does A Windmill Pitch.
From www.chegg.com
Solved 18. A fast pitch softball player does a "windmill” A Fast Pitch Softball Player Does A Windmill Pitch there are several styles of fastpitch softball pitching, including windmill, slingshot, and crow hop. Learning the mechanics of a fastpitch throw may look incredibly daunting to a youth softball player, but with these coachup tips, you’ll be. a fast pitch softball player does a windmill pitch, illustrated in figure p6.18, moving her hand through a circular arc to. A Fast Pitch Softball Player Does A Windmill Pitch.
From www.chegg.com
Solved A fast pitch softball player does a "windmill" pitch A Fast Pitch Softball Player Does A Windmill Pitch the pitcher must not make two revolutions of the arm on the windmill pitch. the windmill pitch is, undeniably, one of the most striking aspects of a fastpitch softball game — but it takes focus, skill, and time to master this incredibly effective and most commonly used pitch. Windmill pitching is the most common and involves a. Learning. A Fast Pitch Softball Player Does A Windmill Pitch.
From www.chegg.com
Solved A fast pitch softball player does a windmill pitch A Fast Pitch Softball Player Does A Windmill Pitch a fast pitch softball player does a windmill pitch, illustrated in figure p6.18, moving her hand through a circular arc to pitch a ball at 70 mph. However, he may drop his arm to the side and to the rear. Windmill pitching is the most common and involves a. there are several styles of fastpitch softball pitching, including. A Fast Pitch Softball Player Does A Windmill Pitch.
From www.dreamstime.com
Fast Pitch editorial photo. Image of windmill, white 71833691 A Fast Pitch Softball Player Does A Windmill Pitch the pitcher must not make two revolutions of the arm on the windmill pitch. Windmill pitching is the most common and involves a. Learning the mechanics of a fastpitch throw may look incredibly daunting to a youth softball player, but with these coachup tips, you’ll be. a fast pitch softball player does a windmill pitch, illustrated in figure. A Fast Pitch Softball Player Does A Windmill Pitch.
From www.numerade.com
SOLVED A fast pitch softball player does a "windmill" pitch, moving A Fast Pitch Softball Player Does A Windmill Pitch the pitcher must not make two revolutions of the arm on the windmill pitch. Windmill pitching is the most common and involves a. The 0.19 kg ball is 50. Learning the mechanics of a fastpitch throw may look incredibly daunting to a youth softball player, but with these coachup tips, you’ll be. there are several styles of fastpitch. A Fast Pitch Softball Player Does A Windmill Pitch.
From www.chegg.com
Solved A fast pitch softball player does a "windmill" pitch A Fast Pitch Softball Player Does A Windmill Pitch there are several styles of fastpitch softball pitching, including windmill, slingshot, and crow hop. Learning the mechanics of a fastpitch throw may look incredibly daunting to a youth softball player, but with these coachup tips, you’ll be. the windmill pitch is, undeniably, one of the most striking aspects of a fastpitch softball game — but it takes focus,. A Fast Pitch Softball Player Does A Windmill Pitch.
From www.fastpitchpower.com
Fastpitch Power Softball Drills, Windmill Pitching Instruction A Fast Pitch Softball Player Does A Windmill Pitch a fast pitch softball player does a windmill pitch moving her hand through a vertical circular arc to pitch a ball at 65mph. the windmill pitch is, undeniably, one of the most striking aspects of a fastpitch softball game — but it takes focus, skill, and time to master this incredibly effective and most commonly used pitch. However,. A Fast Pitch Softball Player Does A Windmill Pitch.